Abstract
Introduction
Despite impressive response rates of >70% in frontline therapy with Azacitidine and Venetoclax, relapsed/refractory (R/R) acute myeloid leukemia (AML) remains a clinical challenge with up-front resistance and relapse developing through mutations of TP53, RAS pathway genes and expression/utilization of alternative BCL2 family members. Through integrative functional genomic analyses performed on a large cohort of primary AML patient samples, we found that the combination of Ruxolitinib (Rux) and Venetoclax (Ven) exhibited broad ex vivo efficacy and synergy. Based on the significant activity seen in both newly diagnosed and R/R AML, we conducted a Phase I study to evaluate the safety and efficacy of Rux+Ven in R/R AML.
Methods
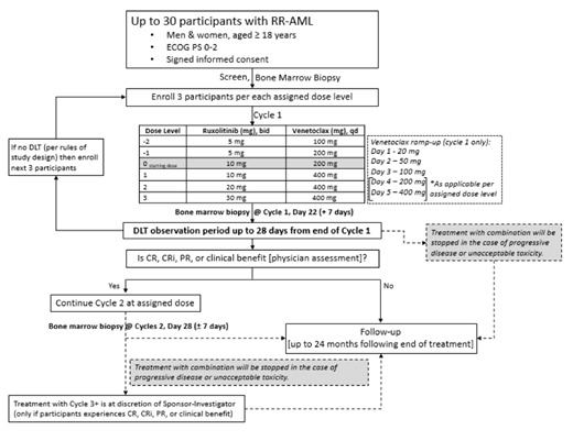
This Phase I multi-center study will identify a recommended Phase II dose and evaluate the overall safety and preliminary efficacy of Rux+Ven. Eligible patients were >18 years old with R/R AML. There was no restriction on the number of previous therapies or prior exposure to Ven or Rux. We included patients with prior allogeneic transplant if GVHD was controlled and prior MDS patients >75 years old who progressed on a hypomethylating agent (HMA) but had no AML therapy. In cohorts of 3 to 4, patients were assigned to receive Rux+Ven at 1 of 6 dose levels according to the "keyboard" Bayesian toxicity probability interval design applied to a pre-specified target dose-limiting toxicity (DLT) rate of 30%. DLTs were defined as non-disease-related Grade ≥3 non-hematologic toxicities, with exceptions for nausea, vomiting, febrile neutropenia due to disease-related cytopenias, and electrolyte abnormalities that resolve within 48 hours. Hematologic DLT was specified as Grade 4 neutropenia by 42 days post-therapy in the absence of disease. The DLT evaluation period covered the first cycle. Clinical responses were determined using 2017 ELN criteria. Patients could continue study therapy after two cycles if they had a response or were deriving clinical benefit.
Results
Twenty patients have been enrolled out of the planned accrual of 30. Median age was 73 (range 29-87), 60% of patients had refractory disease, 50% had ≥3 prior therapies, and 35% had prior Ven exposure. At screening, 40% of patients had a complex karyotype and 65% had adverse ELN risk, including 20% with mutated TP53. The numbers of patients treated by dose level (DL) are: 3 on DL0 (200 mg qd Ven and 10 mg bid Rux), 4 on DL1 (400 mg qd Ven and 10 mg bid Rux), 3 on DL2 (400 mg qd Ven and 20 mg bid Rux), and 10 on DL3 (400 mg qd Ven and 30 mg bid Rux), the highest level of the study. Per prescribing guidelines, the cycle 1 Rux doses of 10 patients and Ven doses of 14 patients were reduced because of concomitant CYP3A inhibitor therapy.
All 20 patients were DLT evaluable (defined as receiving both study drugs on ≥50% of cycle 1 days) and no DLTs were observed. The median duration of therapy was 55 days (95% CI: 51 - 113 days). The most common hematological AEs, regardless of attribution, were grade 3/4 thrombocytopenia (40%), febrile neutropenia (40%), neutropenia (35%), anemia (35%), and leukopenia (30%). Of the serious AEs recorded in 7 patients (35%), 4 were deemed related to Rux+Ven (3 for febrile neutropenia, 1 for sepsis). There were 2 treatment-emergent deaths, with one ( lung infection) potentially related to study drug.
The Clinical Benefit Rate (CBR) was 40% (95% CI: 19.1% - 63.9%) over the first 2 cycles of therapy with five patients (25%) establishing MLFS or better and three achieving a CR or CRi during this time period (Composite Complete Remission rate 15% (95% CI: 3.2% - 37.9%)). For the 5 responders, median number of prior lines was 2, 1 patient had received Ven previously, and none had a TP53 mutation. Ongoing analyses involving ex vivo drug sensitivity, genomic sequencing, CyTOF, and single cell imaging are looking at associations with clinical response. The protocol is being amended to include PK/PD analysis for the final 10 patients.
Conclusion
The novel, all oral combination of Ven and Rux in heavily pretreated R/R AML patients was well tolerated with no DLTs, promising initial responses, and encouraging duration of therapy. Additional analyses including PK/PD and genomic and immune profiling will give further insight into which patients benefit the most in this poor prognostic group. The well tolerated safety profile makes it a promising combination to advance in the front line setting in combination with HMAs.
Borate: Astellas: Membership on an entity's Board of Directors or advisory committees; Pfizer: Membership on an entity's Board of Directors or advisory committees, Research Funding; Novartis: Membership on an entity's Board of Directors or advisory committees, Research Funding; Daiichi-Sankyo: Membership on an entity's Board of Directors or advisory committees; Genentech: Membership on an entity's Board of Directors or advisory committees, Other: Advisory Board; Jazz Pharma: Research Funding; Blueprint Medicine: Membership on an entity's Board of Directors or advisory committees; Takeda: Membership on an entity's Board of Directors or advisory committees; AbbVie: Membership on an entity's Board of Directors or advisory committees, Research Funding; incyte: Membership on an entity's Board of Directors or advisory committees, Research Funding; Rampal: Membership on an entity's Board of Directors or advisory committees; Galecto, Inc.: Consultancy; Promedior: Consultancy. Saultz: IKENA: Research Funding. Madanat: Onc Live: Honoraria; Blue Print Pharmaceutical: Honoraria; Stem line pharmaceutical: Honoraria; Geron Pharmaceutical: Consultancy. Druker: VB Therapeutics: Membership on an entity's Board of Directors or advisory committees; Aptose Therapeutics: Consultancy, Current equity holder in publicly-traded company, Membership on an entity's Board of Directors or advisory committees; Bristol-Myers Squibb: Research Funding; Recludix Pharma, Inc.: Consultancy; The RUNX1 Research Program: Membership on an entity's Board of Directors or advisory committees; Merck & Co: Patents & Royalties; Third Coast Therapeutics: Membership on an entity's Board of Directors or advisory committees; Blueprint Medicines: Consultancy, Current equity holder in publicly-traded company, Membership on an entity's Board of Directors or advisory committees; Amgen: Current equity holder in publicly-traded company, Membership on an entity's Board of Directors or advisory committees; Pfizer: Research Funding; Iterion Therapeutics: Membership on an entity's Board of Directors or advisory committees; ALLCRON: Consultancy, Membership on an entity's Board of Directors or advisory committees; EnLiven: Consultancy, Research Funding; GRAIL: Current equity holder in publicly-traded company; Novartis Pharmaceuticals: Membership on an entity's Board of Directors or advisory committees, Patents & Royalties; Nemucore Medical Innovations, Inc.: Consultancy; Cepheid: Consultancy, Membership on an entity's Board of Directors or advisory committees; Aileron: Membership on an entity's Board of Directors or advisory committees; Vincerx Pharma: Current equity holder in publicly-traded company, Membership on an entity's Board of Directors or advisory committees; Vivid Biosciences: Membership on an entity's Board of Directors or advisory committees. Tyner: Array: Research Funding; Takeda: Research Funding; Genentech: Research Funding; Constellation: Research Funding; Schrodinger: Research Funding; Petra: Research Funding; Agios: Research Funding; Seattle Genetics: Research Funding; Incyte: Research Funding; Gilead: Research Funding; Janssen: Research Funding; Astrazeneca: Research Funding.
